‘Poverty’ Nonprofit That Smears Conservatives Has Millions in Offshore Accounts, IRS Records Show
Despite its penurious name, the Southern Poverty Law Center has an endowment of more than $700 million, compensates leadership handsomely, and possesses more than $30 million in offshore accounts—likely in the Cayman Islands, its most recent IRS filing reveals.
Live Your Best Retirement
Fun • Funds • Fitness • Freedom
“It’s very odd and frankly raises suspicion that a nonprofit organization would have accounts in places like the Cayman Islands, or as they reported $30 million in Central America,” Mat Staver, founder and chairman of the law firm Liberty Counsel, told The Daily Signal on Tuesday.
“The Cayman Islands has always been known as one of these places that people select to hide their money from the government,” he noted. “This is a public charity, and they should explain to the public, why do they find it necessary to have money in these offshore accounts? I don’t think there’s any good explanation.”
As I wrote in my book, “Making Hate Pay,” the SPLC gained its reputation by suing Ku Klux Klan groups into bankruptcy, and it publishes an annual “hate map” that includes mainstream conservative and Christian nonprofits alongside Klan chapters. The SPLC uses this map to urge Big Tech and financial companies to blacklist conservatives, to advise law enforcement on “hate” threats, and to urge donors to contribute to its cause of fighting “hate.”
Staver is representing the Dustin Inman Society, a nonprofit that opposes illegal immigration, in a defamation lawsuit against the SPLC, which called the society an “anti-immigrant hate group.”
This year, the SPLC added Turning Point USA, the largest conservative youth grassroots organization in America, to the “hate map,” along with the Christian nonprofit Focus on the Family and PragerU, which is known for its five-minute videos promoting conservative ideas.
In 2019, a former employee called the SPLC the “poverty palace” and described the “hate” accusations as a “highly-profitable scam.”
The SPLC’s Cayman Islands interests go back at least 10 years, when the center transferred millions offshore in 2014 and 2015.
The IRS Form
Nonprofit organizations must file a Form 990 with the IRS, revealing their revenue, grants, and the salaries of top leaders, among other things. The SPLC’s latest filing covers Nov. 1, 2023, to Oct. 31, 2024.
During that filing time, the SPLC received $106 million in contributions and $129 million in total revenue (including interest on investments). The organization spent $47 million on salaries and wages, and $94 million on program service expenses. At the end of the tax year, the SPLC had $786.8 million in net assets and $738.4 million in endowment funds.
Despite all this cash, the SPLC laid off about a quarter of its staff last fall, and the former employees accused the center of targeting union members in the layoffs.
In the Form 990 Part V, the SPLC acknowledged that it had “an interest in, or a signature or other authority over, a financial account in a foreign country,” namely “CJ,” the country code of the Cayman Islands.

In the Form 990 Schedule F, the SPLC wrote that it had $30.7 million in “investments” in “Central America and the Caribbean,” which likely refers to the Cayman Islands. The group also divulged that it has $186,000 in investments in North America outside the U.S.—in either Mexico or Canada. This appears to represent a decrease from the $92.6 million in “non-U.S. equities” the SPLC reported in October 2017.

SPLC Leadership Salaries
The SPLC compensates its leaders well, far above the median income of Montgomery, Alabama, where the center is based.
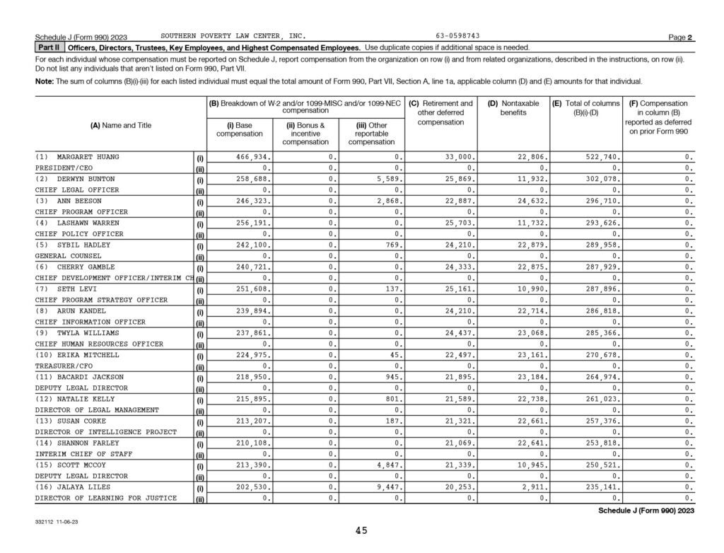
SPLC President and CEO Margaret Huang enjoyed a base compensation of $466,934, and other benefits accounted for another $55,806. This represents more than eight times the median income of Montgomery County, $60,739 in 2023, according to the Census Bureau.
Most of the SPLC leadership earned more than $200,000 during the 2023-2024 fiscal year, with considerable benefits beyond the base pay.
Only two leaders, Interim CEO Rebecca Latin and Chief Communications Officer Julian Teixeira, received below the $200,000 mark, at $161,050 and $189,592, respectively.

The SPLC also awards grants through its education program, Learning for Justice, and other programs.
The SPLC awarded more than $106,000 total to eight education institutions through Learning for Justice, a program that advocates leftist ideology in education. The SPLC also gave $275,000 to New Venture Fund, a nonprofit founded by Arabella Advisors that allows donors to support projects indirectly. One of New Venture Fund’s projects, Governing for Impact, advised key leaders in the Biden administration.

The New Venture Fund has previously supported the SPLC, sending the center $20,000 in 2022.
The SPLC did not respond to The Daily Signal’s request for comment about the offshore accounts, the grant to New Venture Fund, and the high compensation for SPLC leadership.
The offshore accounts, and the secrecy surrounding them, raise important questions for which the public deserves answers.
The post ‘Poverty’ Nonprofit That Smears Conservatives Has Millions in Offshore Accounts, IRS Records Show appeared first on The Daily Signal.
Originally Published at Daily Wire, Daily Signal, or The Blaze
What's Your Reaction?
Like
0
Dislike
0
Love
0
Funny
0
Angry
0
Sad
0
Wow
0